Link Master Analysis (LMA) Statistical Chart Manipulation

Link Master Analysis (LMA) Statistical Chart Manipulation

In this article, we will cover how you can manipulate data using the Statistics Chart in Link Master Analysis (LMA).

Creating Statistical Charts

In your workspace, select the measures you'd like to use. You can see in the following screenshot that, for the purposes of this tutorial, we'll be working with three of the eight measures available in our workspace.

Right-click on the parameter you're interested in, and select Statistics Chart.

You'll create a chart that looks like this.

You can move the legend that accompanies the chart to wherever you'd like. You can also right-click for additional options. For example, you can select Legend sort by Percentage.

Your chart now looks like this.

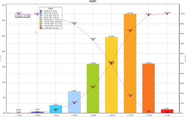
Reviewing your chart (the one not sorted by percentage), you can see that it's very similar to a histogram.

The red line is the cumulative distribution probability, which shows what percentage of your data is to the left of that bucket. In the following sub-section of the chart, we can see that about 7% of the data points fall within the > -80.00 bucket, but about 10% of the data fall to the left.

You can use different views by right-clicking on your chart and going to Environment

This is what your chart would look like if you selected View 3D.

You might be interested in displaying the 100% - CDF line, which is a feature accessible by right-clicking the chart and selecting Option > 100% - CDF.

Now you can see the percentage of data that lies to the right of a particular bucket.

Hide/Show Distributions

At the bottom, you'll see the measures that are included in your chart.

However, you can see that each measure differs in the specific distributions. You can also check or uncheck a specific measure to add or remove that measure to the chart, respectively. For example, you might want to chart just the second measure.

Use the Legend to Hide/Show Data

You can use the legend to hide/show specific sub-sets of data.

For example, selecting Invisible All hides your data, while Visible All shoes everything. To hide a specific set, right-click on that grouping and select Visible to toggle its display status.

If you select Options, you'll see the following menu that allows you to hide/show items as desired.

 Exporting Measures

If you want to export a given measure, you can right-click on the specific measure listed at the bottom of the chart, and select Export. You can choose to export as multiple file types.

Export Chart

You can right-click and select Export to to save your chart for use elsewhere.

 

    • Related Articles

    • Link Master Analysis (LMA) Quickstart

      In this article, we'll show you how to: Import your log file Begin running analyses on your data using LMA. Importing Your Log File Launch Link Master Analysis (LMA). You'll see a blank workspace that looks something like this: In the top left, click ...
    • Link Master Analysis (LMA) Legend Control

      In this article, we will cover how you can modify the legends that accompany the data displays that you create in Link Master Analysis (LMA). Before proceeding, please launch LMA and load measures into your workspace. You can use these sets of data ...
    • UL MIMO analysis in LML and LMA

      As the lifecycle of 5G marches onwards, UL MIMO will continue to show up in locations around the country, necessitating more and more testing. To facilitate this testing, there are a variety of ways to analyze UL MIMO using both Link Master Logging ...
    • How to use LMA Filters

      This is a video tutorial covering the same topic of this article. This article covers how to use filters in Link Master Analysis (LMA), including What filters do How to create/use filters Filter basics In LMA, filters allow you to apply custom ...
    • Time Synchronization in Link Master Analysis (LMA).

      In this article, we will be looking at how to use time synchronization to cross-compare data sets you're looking at in Link Master Analysis (LMA). Prerequisites Before proceeding, please launch LMA and load in log files (containing your measures) ...